Part 1: Introduction to Purrr
Hello and welcome to the tutorial on Lists and Iterations with Purrr. Purrr is a tidyverse package that makes iterating over lists easier, more efficient, and more human readable compared to the base R functions. In the first section, we will learn the principal functions of purrr that will allow us to iterate over lists, how to troubleshoot lists, and dive into some more complex examples utilizing other tidyverse principals. In the second section of this tutorial, we will dive into more advanced topics including: lambda functions, partials, and predicate functions that will allow us to write cleaner code. Let’s begin!
#load required libraries
library(tidyverse)
library(repurrrsive)
#load sw_species dataset from repurrrsive
data("sw_species")
#examine the first element in sw_species
glimpse(sw_species[[2]])
## List of 15
## $ name : chr "Yoda's species"
## $ classification : chr "mammal"
## $ designation : chr "sentient"
## $ average_height : chr "66"
## $ skin_colors : chr "green, yellow"
## $ hair_colors : chr "brown, white"
## $ eye_colors : chr "brown, green, yellow"
## $ average_lifespan: chr "900"
## $ homeworld : chr "http://swapi.co/api/planets/28/"
## $ language : chr "Galactic basic"
## $ people : chr "http://swapi.co/api/people/20/"
## $ films : chr [1:5] "http://swapi.co/api/films/5/" "http://swapi.co/api/films/4/" "http://swapi.co/api/films/6/" "http://swapi.co/api/films/3/" ...
## $ created : chr "2014-12-15T12:27:22.877000Z"
## $ edited : chr "2014-12-20T21:36:42.148000Z"
## $ url : chr "http://swapi.co/api/species/6/"
As shown above, we can use double brackets to subset an item or element in a list. In the case of the sw_species list, the second element corresponds to another list composed of information for Yoda’s species.
Another way to subset a list is by name using the $ followed by the list name, similar to how we subset dataframes. However, the sw_species list is unnamed.
#Get the names of the list elements
names(sw_species)
## NULL
Mapping
Our first task will be to apply names to each element using the $name subelement from each species sublist. One way to do this is by going through each list individually.
#get the name element from the first list in sw_species
(names(sw_species)[[1]] <- sw_species[[1]]$name)
## [1] "Hutt"
#examines the names of the sw_species once again
names(sw_species)
## [1] "Hutt" NA NA NA NA NA NA NA NA NA
## [11] NA NA NA NA NA NA NA NA NA NA
## [21] NA NA NA NA NA NA NA NA NA NA
## [31] NA NA NA NA NA NA NA
This is painstakingly tedious and inefficent. One could use a for loop to do this, but there’s an even better way.
Purrr has a map function which works similarly to the base R apply functions. Map takes a .x argument - a vector or list, and a .f argument - a function. Map acts as a loop iterating the function over each element in the list. Let’s utilize map and the set_names function to give the sw_species dataset names.
First, we’ll create a list of species names. Map is useful in that the .f argument can be used to subset an element of the list as so:
#create a vector of names of the species
species_names <- map(sw_species, "name")
Now we’ll apply the species names to the sw_species list.
sw_species <- set_names(sw_species, species_names)
#examine the names of sw_species
names(sw_species)
## [1] "Hutt" "Yoda's species" "Trandoshan" "Mon Calamari"
## [5] "Ewok" "Sullustan" "Neimodian" "Gungan"
## [9] "Toydarian" "Dug" "Twi'lek" "Aleena"
## [13] "Vulptereen" "Xexto" "Toong" "Cerean"
## [17] "Nautolan" "Zabrak" "Tholothian" "Iktotchi"
## [21] "Quermian" "Kel Dor" "Chagrian" "Geonosian"
## [25] "Mirialan" "Clawdite" "Besalisk" "Kaminoan"
## [29] "Skakoan" "Muun" "Togruta" "Kaleesh"
## [33] "Pau'an" "Wookiee" "Droid" "Human"
## [37] "Rodian"
#subset one of the lists using the $listelementname
sw_species$Ewok %>%
simplify()
## name classification
## "Ewok" "mammal"
## designation average_height
## "sentient" "100"
## skin_colors hair_colors
## "brown" "white, brown, black"
## eye_colors average_lifespan
## "orange, brown" "unknown"
## homeworld language
## "http://swapi.co/api/planets/7/" "Ewokese"
## people films
## "http://swapi.co/api/people/30/" "http://swapi.co/api/films/3/"
## created edited
## "2014-12-18T11:22:00.285000Z" "2014-12-20T21:36:42.155000Z"
## url
## "http://swapi.co/api/species/9/"
By default, the map function returns elements in the form of a list. However, there are various flavors of map which will return different outputs:
| map_* | output |
|---|---|
| map_chr() | character vector |
| map_lgl() | logical vector [T or F] |
| map_int() | integer vector |
| map_dbl() | double vector (numeric) |
| map_df() | as data frame |
As an example, let’s use the map_chr function to grab the $language element from each species list which will return a character vector of the languages. Then we will use this character vector to create a data frame linking the languages back to the names of each species.
In order to do so we need to clarify a few things first:
To specify how the list is used in the function, use the argument .x to denote where the list element goes inside the function. When you want to use .x to show where the element goes in the function, you need to put a ~ in front of the function in the second argument of map().
data.frame(culture = map_chr(sw_species, ~.x$language)) %>%
rownames_to_column(var = "character") %>%
head(10)
## character culture
## 1 Hutt Huttese
## 2 Yoda's species Galactic basic
## 3 Trandoshan Dosh
## 4 Mon Calamari Mon Calamarian
## 5 Ewok Ewokese
## 6 Sullustan Sullutese
## 7 Neimodian Neimoidia
## 8 Gungan Gungan basic
## 9 Toydarian Toydarian
## 10 Dug Dugese
More Complex Operations
Piping
In the examples above, we saw that it is possible to using piping with the map function. The pipe allows us to streamline our code and makes it more human readable. Here’s another example.
#create a numeric list
(numlist <- list(c(1:10), c(11:20), c(21:30)))
## [[1]]
## [1] 1 2 3 4 5 6 7 8 9 10
##
## [[2]]
## [1] 11 12 13 14 15 16 17 18 19 20
##
## [[3]]
## [1] 21 22 23 24 25 26 27 28 29 30
#use pipes to perform multiple operations
numlist %>%
map(~.x %>%
sum %>%
sqrt %>%
sin)
## [[1]]
## [1] 0.9056937
##
## [[2]]
## [1] -0.1162079
##
## [[3]]
## [1] -0.2578112
Simple mathematical operations are just the tip of the iceberg to what is possible. In this example, we’ll create some simulated data for housing around the bay area.
#create a list of areas
area <- list("San Francisco", "Oakland", "San Jose")
#create a list of dataframes with simulated housing data for each area
housing_list <- map(area,
~data.frame(area = .x,
price = rnorm(mean = 800000,
n = 100,
sd = 800000/2.5),
sq_ft = rnorm(mean = 1200,
n = 100,
sd = 1200/4)
)
)
#examine a portion of the simulated data
map(.x = housing_list, .f = ~.x %>% head)
## [[1]]
## area price sq_ft
## 1 San Francisco 436846.6 1304.4513
## 2 San Francisco 220175.2 934.5941
## 3 San Francisco 479857.4 1323.9702
## 4 San Francisco 956379.4 1487.9882
## 5 San Francisco 394394.7 1051.3588
## 6 San Francisco 746208.5 543.3655
##
## [[2]]
## area price sq_ft
## 1 Oakland 795704.2 1350.4617
## 2 Oakland 800444.6 1072.7275
## 3 Oakland 528976.2 1216.5846
## 4 Oakland 661947.1 1269.7766
## 5 Oakland 1467022.9 948.1095
## 6 Oakland 542950.2 1389.0760
##
## [[3]]
## area price sq_ft
## 1 San Jose 674574.3 1313.2285
## 2 San Jose 1288031.5 853.7149
## 3 San Jose 625760.2 1093.7647
## 4 San Jose 1546869.2 983.3692
## 5 San Jose 1401423.5 1488.4967
## 6 San Jose 772236.3 1150.3756
Now that we have the data let’s model each area using the map function.
#model the data using pipes and the map function
#notice that model function AND the summary function fall within the .f argument of the map function
housing_list %>%
map(.f = ~.x %>% lm(price ~ sq_ft, data = .) %>% summary)
## [[1]]
##
## Call:
## lm(formula = price ~ sq_ft, data = .)
##
## Residuals:
## Min 1Q Median 3Q Max
## -572842 -177694 -14188 173541 762638
##
## Coefficients:
## Estimate Std. Error t value Pr(>|t|)
## (Intercept) 790896.07 140908.27 5.613 1.85e-07 ***
## sq_ft 2.27 111.29 0.020 0.984
## ---
## Signif. codes: 0 '***' 0.001 '**' 0.01 '*' 0.05 '.' 0.1 ' ' 1
##
## Residual standard error: 272000 on 98 degrees of freedom
## Multiple R-squared: 4.244e-06, Adjusted R-squared: -0.0102
## F-statistic: 0.0004159 on 1 and 98 DF, p-value: 0.9838
##
##
## [[2]]
##
## Call:
## lm(formula = price ~ sq_ft, data = .)
##
## Residuals:
## Min 1Q Median 3Q Max
## -801841 -216108 -26790 246719 801744
##
## Coefficients:
## Estimate Std. Error t value Pr(>|t|)
## (Intercept) 927962.6 129172.6 7.184 1.34e-10 ***
## sq_ft -101.4 103.8 -0.977 0.331
## ---
## Signif. codes: 0 '***' 0.001 '**' 0.01 '*' 0.05 '.' 0.1 ' ' 1
##
## Residual standard error: 312400 on 98 degrees of freedom
## Multiple R-squared: 0.009653, Adjusted R-squared: -0.0004522
## F-statistic: 0.9553 on 1 and 98 DF, p-value: 0.3308
##
##
## [[3]]
##
## Call:
## lm(formula = price ~ sq_ft, data = .)
##
## Residuals:
## Min 1Q Median 3Q Max
## -707082 -230878 -16980 210823 720399
##
## Coefficients:
## Estimate Std. Error t value Pr(>|t|)
## (Intercept) 1164735.7 126499.3 9.207 6.35e-15 ***
## sq_ft -248.6 101.4 -2.452 0.016 *
## ---
## Signif. codes: 0 '***' 0.001 '**' 0.01 '*' 0.05 '.' 0.1 ' ' 1
##
## Residual standard error: 307300 on 98 degrees of freedom
## Multiple R-squared: 0.05781, Adjusted R-squared: 0.04819
## F-statistic: 6.013 on 1 and 98 DF, p-value: 0.01597
Multiple Lists / Datasets
Purrr makes it easy to perform function(s) over multiple lists or datasets. For two lists, we can use map2 which requuires .x and .y as your list arguments. pmap handles more than two lists.
First let’s create a few lists.
#create a list of names
names_list <-map(sw_species, .f = ~.$name)
#create a list of lifespans
lifespan_list <- map(sw_species, .f = ~.$average_lifespan)
#create a list of languages
language_list <- map(sw_species, .f = ~.$language)
Now let’s create a dataframe using two of the lists.
#create a dataframe with the names and lifespan lists
map2_df(.x = names_list, .y = lifespan_list, .f = ~data.frame(names = .x, avg_lifespan = .y))
## names avg_lifespan
## 1 Hutt 1000
## 2 Yoda's species 900
## 3 Trandoshan unknown
## 4 Mon Calamari unknown
## 5 Ewok unknown
## 6 Sullustan unknown
## 7 Neimodian unknown
## 8 Gungan unknown
## 9 Toydarian 91
## 10 Dug unknown
## 11 Twi'lek unknown
## 12 Aleena 79
## 13 Vulptereen unknown
## 14 Xexto unknown
## 15 Toong unknown
## 16 Cerean unknown
## 17 Nautolan 70
## 18 Zabrak unknown
## 19 Tholothian unknown
## 20 Iktotchi unknown
## 21 Quermian 86
## 22 Kel Dor 70
## 23 Chagrian unknown
## 24 Geonosian unknown
## 25 Mirialan unknown
## 26 Clawdite 70
## 27 Besalisk 75
## 28 Kaminoan 80
## 29 Skakoan unknown
## 30 Muun 100
## 31 Togruta 94
## 32 Kaleesh 80
## 33 Pau'an 700
## 34 Wookiee 400
## 35 Droid indefinite
## 36 Human 120
## 37 Rodian unknown
pmap works a little differently. First, we need to create a master list, a list of lists so-to-speak.
#create a master list
species_info_list <- list(names = names_list, avg_lifespan = lifespan_list, language = language_list)
pmap_df(.l = species_info_list, .f = function(names, avg_lifespan, language) data.frame(names = names, avg_lifespan = avg_lifespan, language = language))
## names avg_lifespan language
## 1 Hutt 1000 Huttese
## 2 Yoda's species 900 Galactic basic
## 3 Trandoshan unknown Dosh
## 4 Mon Calamari unknown Mon Calamarian
## 5 Ewok unknown Ewokese
## 6 Sullustan unknown Sullutese
## 7 Neimodian unknown Neimoidia
## 8 Gungan unknown Gungan basic
## 9 Toydarian 91 Toydarian
## 10 Dug unknown Dugese
## 11 Twi'lek unknown Twi'leki
## 12 Aleena 79 Aleena
## 13 Vulptereen unknown vulpterish
## 14 Xexto unknown Xextese
## 15 Toong unknown Tundan
## 16 Cerean unknown Cerean
## 17 Nautolan 70 Nautila
## 18 Zabrak unknown Zabraki
## 19 Tholothian unknown unknown
## 20 Iktotchi unknown Iktotchese
## 21 Quermian 86 Quermian
## 22 Kel Dor 70 Kel Dor
## 23 Chagrian unknown Chagria
## 24 Geonosian unknown Geonosian
## 25 Mirialan unknown Mirialan
## 26 Clawdite 70 Clawdite
## 27 Besalisk 75 besalisk
## 28 Kaminoan 80 Kaminoan
## 29 Skakoan unknown Skakoan
## 30 Muun 100 Muun
## 31 Togruta 94 Togruti
## 32 Kaleesh 80 Kaleesh
## 33 Pau'an 700 Utapese
## 34 Wookiee 400 Shyriiwook
## 35 Droid indefinite n/a
## 36 Human 120 Galactic Basic
## 37 Rodian unknown Galactic Basic
Here’s another example using pmap. Notice that we don’t need to use the function argument to define the list elements.
a <- list(1:100)
b <- list(rnorm(10, 25, 2))
c <- list(seq(from = 10, to = 1000, by = 3))
pmap(.l = list(a,b,c), .f = sum)
## [[1]]
## [1] 172458.8
Troubleshooting Lists
Safely
safely runs through a list returning result and error components making it easier to pinpoint issues.
#create a list 'foo'
foo <- list(3, -10, Inf, "a")
#use map function on foo
map(foo, log)
## Error in log(x = x, base = base): non-numeric argument to mathematical function
As you see, we get an error somewhere in the list. We know that we can’t take the log of “a”, but what if our list was much larger? It would be very difficult to troubleshoot. This is exactly what safely is designed for.
#use safely with map function
map(foo, .f = safely(log, otherwise = NA_real_))
## [[1]]
## [[1]]$result
## [1] 1.098612
##
## [[1]]$error
## NULL
##
##
## [[2]]
## [[2]]$result
## [1] NaN
##
## [[2]]$error
## NULL
##
##
## [[3]]
## [[3]]$result
## [1] Inf
##
## [[3]]$error
## NULL
##
##
## [[4]]
## [[4]]$result
## [1] NA
##
## [[4]]$error
## <simpleError in log(x = x, base = base): non-numeric argument to mathematical function>
It is useful to use the transpose function in conjunction with troubleshooting functions such as safely to convert a list of pairs into a pair of lists for easier comprehension.
#use transpose after function to split out results and errors
foo %>%
map(safely(log, otherwise = NA_real_)) %>%
transpose()
## $result
## $result[[1]]
## [1] 1.098612
##
## $result[[2]]
## [1] NaN
##
## $result[[3]]
## [1] Inf
##
## $result[[4]]
## [1] NA
##
##
## $error
## $error[[1]]
## NULL
##
## $error[[2]]
## NULL
##
## $error[[3]]
## NULL
##
## $error[[4]]
## <simpleError in log(x = x, base = base): non-numeric argument to mathematical function>
Possibly
Once we have figured out where the errors exist, we can replace safely with possibly to implement the change (e.g. inserting an ‘NA’ where all errors occur) without returning the error message.
#use possibly to output list without errors
foo %>%
map_dbl(possibly(log, otherwise = NA_real_))
## [1] 1.098612 NaN Inf NA
Let’s take a look at one more example using the Star Wars Species data we’re already familiar with. Within the species list, there is a height subelement indicating the height of each species in centimeters. Let’s isolate this element and convertthe measurement to feet.
#extract the height subelement
sw_species %>%
map(~.$average_height) %>%
map_dbl(as.numeric) %>%
map_dbl(~.x * 0.0328084, otherwise = NA_real_)
## Hutt Yoda's species Trandoshan Mon Calamari Ewok
## 9.842520 2.165354 6.561680 5.249344 3.280840
## Sullustan Neimodian Gungan Toydarian Dug
## 5.905512 5.905512 6.233596 3.937008 3.280840
## Twi'lek Aleena Vulptereen Xexto Toong
## 6.561680 2.624672 3.280840 4.101050 6.561680
## Cerean Nautolan Zabrak Tholothian Iktotchi
## 6.561680 5.905512 5.905512 NA 5.905512
## Quermian Kel Dor Chagrian Geonosian Mirialan
## 7.874016 5.905512 6.233596 5.839895 5.905512
## Clawdite Besalisk Kaminoan Skakoan Muun
## 5.905512 5.839895 7.217848 NA 6.233596
## Togruta Kaleesh Pau'an Wookiee Droid
## 5.905512 5.577428 6.233596 6.889764 NA
## Human Rodian
## 5.905512 5.577428
Walk
The walk function makes list outputs more human readable. It calls the function (.f) for its ‘side-effect’ and returns the input (.x) removing all the unnecessary list bracketing.
In the example below we’ll use the population dataset from the tidyr package to plot year vs. population for a selection of countries.
library(gridExtra) #for arranging plots
#select a random sample of countries
(countries <- unique(population$country) %>%
sample(size = 5))
## [1] "Romania" "Puerto Rico" "Solomon Islands" "Fiji"
## [5] "Saudi Arabia"
plots <- population %>%
filter(country == countries) %>% # filter only countries of interest
split(.$country) %>% # split the data by country
map2(.x = .,
.y = names(.),
.f = ~ggplot(.x, aes(x = year, y = population)) +
geom_line() +
labs(title = .y))
plots %>%
walk(grid.arrange(grobs = .))
## Error: Can't convert a `gtable` object to function

Problem Solving
Now that we have some experience working with various functions in R, let’s put our new found skills to the test by solving some problems. The gh_users dataset is also from the repurrrsive package and provides some data on github users.
First, let’s take a look at the dataset.
#summarize the dataset
summary(gh_users)
## Length Class Mode
## [1,] 30 -none- list
## [2,] 30 -none- list
## [3,] 30 -none- list
## [4,] 30 -none- list
## [5,] 30 -none- list
## [6,] 30 -none- list
#determine whether the dataset is named
names(gh_users)
## NULL
The gh_users daatset is comprised of 6 lists each comprised of 30 elements. We also know that the lists do not contain names. Let’s take a look at the elements from the first list to see what kind of information is included.
#exmaine the structure of the first list
str(gh_users[[1]])
## List of 30
## $ login : chr "gaborcsardi"
## $ id : int 660288
## $ avatar_url : chr "https://avatars.githubusercontent.com/u/660288?v=3"
## $ gravatar_id : chr ""
## $ url : chr "https://api.github.com/users/gaborcsardi"
## $ html_url : chr "https://github.com/gaborcsardi"
## $ followers_url : chr "https://api.github.com/users/gaborcsardi/followers"
## $ following_url : chr "https://api.github.com/users/gaborcsardi/following{/other_user}"
## $ gists_url : chr "https://api.github.com/users/gaborcsardi/gists{/gist_id}"
## $ starred_url : chr "https://api.github.com/users/gaborcsardi/starred{/owner}{/repo}"
## $ subscriptions_url : chr "https://api.github.com/users/gaborcsardi/subscriptions"
## $ organizations_url : chr "https://api.github.com/users/gaborcsardi/orgs"
## $ repos_url : chr "https://api.github.com/users/gaborcsardi/repos"
## $ events_url : chr "https://api.github.com/users/gaborcsardi/events{/privacy}"
## $ received_events_url: chr "https://api.github.com/users/gaborcsardi/received_events"
## $ type : chr "User"
## $ site_admin : logi FALSE
## $ name : chr "Gábor Csárdi"
## $ company : chr "Mango Solutions, @MangoTheCat "
## $ blog : chr "http://gaborcsardi.org"
## $ location : chr "Chippenham, UK"
## $ email : chr "csardi.gabor@gmail.com"
## $ hireable : NULL
## $ bio : NULL
## $ public_repos : int 52
## $ public_gists : int 6
## $ followers : int 303
## $ following : int 22
## $ created_at : chr "2011-03-09T17:29:25Z"
## $ updated_at : chr "2016-10-11T11:05:06Z"
Now, let’s determine which of the users has the most public repositories.
map_int(gh_users, ~.$public_repos) %>% #pull out the # of public repositories
set_names(map_chr(gh_users, ~.$name)) %>% #assign names to each list element
sort(decreasing = T) #sort the data
## Jennifer (Jenny) Bryan Thomas J. Leeper Jeff L.
## 168 99 67
## Gábor Csárdi Maëlle Salmon Julia Silge
## 52 31 26
And there you have it. Jennifer Bryan has the most repositories with a whopping 168.
And now for another example. Let’s use the sw_films and sw_people data. Here, we want to join the two datasets so we can plot the height distributions of the characters according to the movies they appear in.
# Turn data into correct dataframe format
film_by_character <- tibble(filmtitle = map_chr(sw_films, ~.$title)) %>%
mutate(filmtitle, characters = map(sw_films, ~.$characters)) %>%
unnest()
# Pull out elements from sw_people
sw_characters <- map_df(sw_people, `[`, c("height", "mass", "name", "url"))
# Join the two new objects
character_data <- inner_join(film_by_character, sw_characters, by = c("characters" = "url")) %>%
# Make sure the columns are numbers
mutate(height = as.numeric(height), mass = as.numeric(mass))
# Plot the heights, faceted by film title
ggplot(character_data, aes(x = height)) +
geom_histogram(stat = "count") +
facet_wrap(~ filmtitle)

Part 2
Now that we have a sense of how purrr uses the map to iterate over data, let’s look at other functions that will make it easier to write more complex code.
Mappers
A classical function is also known as a lambda or anonymous function because it is unnamed and created in the context of the iteration.
There are three main advantages to using mappers:
- concise
- easy to read
- reusable
Mappers take on a one-sided formula. We start with a ~ followed by the formula and a .x to refer to the list input we want to iterate over in the function. We can also use a single dot . or ..1 in place of .x.
Here’s an example using the list numlist we created earlier in the tutorial.
#examine the list 'numlist'
str(numlist)
## List of 3
## $ : int [1:10] 1 2 3 4 5 6 7 8 9 10
## $ : int [1:10] 11 12 13 14 15 16 17 18 19 20
## $ : int [1:10] 21 22 23 24 25 26 27 28 29 30
#a simple map function
map(numlist, mean)
## [[1]]
## [1] 5.5
##
## [[2]]
## [1] 15.5
##
## [[3]]
## [1] 25.5
# mapper with .
map(numlist, ~ mean(.) + 2)
## [[1]]
## [1] 7.5
##
## [[2]]
## [1] 17.5
##
## [[3]]
## [1] 27.5
# mapper with ..1
map(numlist, ~ mean(..1) %>% sqrt)
## [[1]]
## [1] 2.345208
##
## [[2]]
## [1] 3.937004
##
## [[3]]
## [1] 5.049752
It is good practice to write a function for anything you have to do more than twice.
Let’s suppose the list numlist is temeprature readings in celsius and we want to convert them to farenheit.
# create a function to convert celsius to farnehit
c_to_f <- function(x){
(x * 9/5) + 32
}
#iterate over numlist with c_to_f function
map(.x = numlist, .f = c_to_f)
## [[1]]
## [1] 33.8 35.6 37.4 39.2 41.0 42.8 44.6 46.4 48.2 50.0
##
## [[2]]
## [1] 51.8 53.6 55.4 57.2 59.0 60.8 62.6 64.4 66.2 68.0
##
## [[3]]
## [1] 69.8 71.6 73.4 75.2 77.0 78.8 80.6 82.4 84.2 86.0
We can also create a mapper using the as_mapper function which requires less code.
#create c_to_f function using as_mapper
c_to_f <- as_mapper(~ (.x * 9/5) + 32)
#iterate over numlist with mapper function
map(.x = numlist, .f = c_to_f)
## [[1]]
## [1] 33.8 35.6 37.4 39.2 41.0 42.8 44.6 46.4 48.2 50.0
##
## [[2]]
## [1] 51.8 53.6 55.4 57.2 59.0 60.8 62.6 64.4 66.2 68.0
##
## [[3]]
## [1] 69.8 71.6 73.4 75.2 77.0 78.8 80.6 82.4 84.2 86.0
Cleaning Data with Mappers & Predicates
80% of data science is cleaning the data. It’s not glamarous, but it’s the truth.
When dealing with lists, there are a few useful functions we can utilize in conjunction with mappers to help us clean up the data. We’ll refer to these as predicates.
Predicate functions are those which test a condition and return either True or False. is.numeric is an example of a predicate function; so are the >, <, and == operators.
On the other hand, predicate functionals take an object and a predicate function and return some value. keep, discard, every, and some are examples of predicate functionals available in purrr.
Keep & Discard
As the name suggests keep is a logical function which will return any data in which the condition is met. Discard will do the opposite.
#examine foo
foo
## [[1]]
## [1] 3
##
## [[2]]
## [1] -10
##
## [[3]]
## [1] Inf
##
## [[4]]
## [1] "a"
#keep character elements
keep(foo, is.character)
## [[1]]
## [1] "a"
Let’s take a look at a more complex example. We’ll use the sw_species list again. Here, we want to discard any species whose lifespan is unknown.
discard(sw_species, ~.x$average_lifespan == 'unknown') %>%
map("average_lifespan") %>%
simplify()
## Hutt Yoda's species Toydarian Aleena Nautolan
## "1000" "900" "91" "79" "70"
## Quermian Kel Dor Clawdite Besalisk Kaminoan
## "86" "70" "70" "75" "80"
## Muun Togruta Kaleesh Pau'an Wookiee
## "100" "94" "80" "700" "400"
## Droid Human
## "indefinite" "120"
Predicate functions work well in conjunction with mappers as in the following example:
#examine numlist
numlist
## [[1]]
## [1] 1 2 3 4 5 6 7 8 9 10
##
## [[2]]
## [1] 11 12 13 14 15 16 17 18 19 20
##
## [[3]]
## [1] 21 22 23 24 25 26 27 28 29 30
#mapper for divisible by three
divisible_by_three <- as_mapper(~.x %% 3 == 0)
#map over numlist applying keep and mapper function
map(numlist, ~keep(.x, divisible_by_three))
## [[1]]
## [1] 3 6 9
##
## [[2]]
## [1] 12 15 18
##
## [[3]]
## [1] 21 24 27 30
Writing cleaner code
As we’ve seen so far, purrr is a useful package for writing cleaner code and offers the following advantages:
- light - less code written overall
- readable - less repetition, focus on what’s being executed
- interpretable - code becomes more specific and easier to understand in the long run
- maintainable - easier to fix if errors arise
In the last section of this tutorial, we’ll look at a few more examples of how we can simplify what would otherwise be seemingly complex operations.
Compose & Partial
The compose function allows us to utilize multiple functions. The caveat is that functions are applied right to left within the function itself.
The partial function allows us to write a function in which we specify some of the arguments. This could be useful if we know we’ll be using a function repeatedly on different datasets where most of the arguments will remain the same.
We’ll take a look at the housing_list data we created earlier in this tutorial. First, let’s summarize the data to see what we’re working with.
#summary of housing_list
map(housing_list, summary)
## [[1]]
## area price sq_ft
## San Francisco:100 Min. : 220175 Min. : 543.4
## 1st Qu.: 615306 1st Qu.:1070.5
## Median : 780210 Median :1218.2
## Mean : 793716 Mean :1242.4
## 3rd Qu.: 967906 3rd Qu.:1432.8
## Max. :1556777 Max. :1805.0
##
## [[2]]
## area price sq_ft
## Oakland:100 Min. : 33256 Min. : 565.1
## 1st Qu.: 599379 1st Qu.: 998.2
## Median : 798434 Median :1209.4
## Mean : 805460 Mean :1207.6
## 3rd Qu.:1048556 3rd Qu.:1427.1
## Max. :1618562 Max. :2058.4
##
## [[3]]
## area price sq_ft
## San Jose:100 Min. : 163670 Min. : 541.6
## 1st Qu.: 644449 1st Qu.: 984.7
## Median : 863856 Median :1171.0
## Mean : 863834 Mean :1210.3
## 3rd Qu.:1073601 3rd Qu.:1424.4
## Max. :1599627 Max. :1906.4
It appears there are some houses with negative prices. We can’t have houses with negative sales prices, that just doesn’t make sense. Let’s create a partial function that discards these negative values.
#partial function to discard negatives
discard_negatives <- partial(discard, .p = ~.x < 0)
Unfortunately, I can’t use the function by itself because housing_list is a list of dataframes and the discard function, along with other predicate functions, only works on lists in an elementwise fashion. In the following example, we’ll workaround this issue using two useful functions: transpose and flatten.
transpose will turn the list ‘inside-out converting the dataframes into lists. This will allow us to map over the list with the other functions we’ve composed. Finally, we’ll use flatten to make the output more readable.
#compose a function that will flatten the data,
#discard the negatives,
#and finally takes the mean of each list
get_means <- compose(round, mean, discard_negatives)
housing_list %>%
set_names(area) %>%
transpose() %>%
map(. %>% map(get_means)) %>%
map(flatten_df)
## $area
## # A tibble: 1 x 3
## `San Francisco` Oakland `San Jose`
## <dbl> <dbl> <dbl>
## 1 NA NA NA
##
## $price
## # A tibble: 1 x 3
## `San Francisco` Oakland `San Jose`
## <dbl> <dbl> <dbl>
## 1 793716 805460 863834
##
## $sq_ft
## # A tibble: 1 x 3
## `San Francisco` Oakland `San Jose`
## <dbl> <dbl> <dbl>
## 1 1242 1208 1210
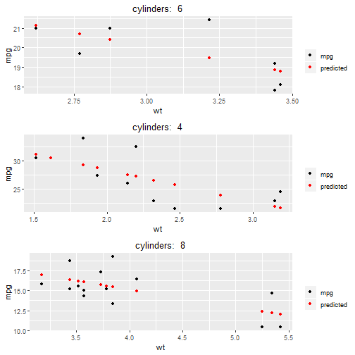
Putting It All Together
By know, you should have a solid understanding of how the purrr package makes writing code much more efficient. From iterating over lists, to troubleshooting,stringing together functions and cleaning data,there’s little purrr can’t handle.
In this final example, we’ll use some of what we’ve learned to split up a dataset using grouping and nesting, create multiple models, and plot the data.
library(modelr)
#compose the function
group_nest <- compose(nest, group_by)
nested_data <- group_nest(mtcars, cyl)
model1 <- function(x){
lm(mpg ~ wt, data = x)
}
nested_data %>%
mutate(model = map(data, model1)) %>%
mutate(pred = map2(data, model, add_predictions)) %>%
map2(.x = .$pred,
.y = .$cyl,
.f = ~ggplot(.x, aes(x = wt))+
geom_point(aes(y = mpg, colour = "mpg"))+
geom_point(aes(y = pred, colour = "predicted")) +
scale_colour_manual("", values = c("mpg"= "black", "predicted" = "red")) +
labs(title = paste("cylinders: ", .y)) +
theme(plot.title = element_text(hjust = .5))) %>%
walk(grid.arrange(grobs = .))
## Error: Can't convert a `gtable` object to function

